Chapter 8 Risk Retention Case Studies

Chapter Preview. This text features two case studies introduced in Section 1.2 and further elaborated upon in Sections 6.3.2 and 6.3.3. This chapter shows how to construct optimal insurable risk portfolios in each case. These cases illustrate the flexibility offered by the framework introduced in Chapter 7.

The Wisconsin Property Fund case, presented in Section 8.1, examines an insurance risk pool of \(1,098\) fund members, each managing up to \(p=6\) risk types. This case exhibits many features exhibited by property and casualty insurance companies. Typically, insurers possess extensive claim histories on their policyholders; similarly, for the Property Fund case, there are extensive fund loss histories available to calibrate the risk distributions necessary for constructing optimal portfolios. One potential application described in Section 8.1.5 is the use of portfolio construction methods when designing business owners policies, cf. Section 6.3.

The Australian National University (ANU) case, detailed in Section 8.2, involves a portfolio of \(p=15\) risks, a scenario commonly encountered by risk managers at medium and large corporations. Although empirical historical data are available for high-frequency risk types, losses associated with most risk types occur only infrequently, resulting in limited data availability for calibrating the risk distributions. Motivated by these data limitations, this chapter demonstrates how to use approximate risk distributions based in part on market conditions. In addition, it explores the impact of deviations from model assumptions on optimal risk retentions.

8.1 Wisconsin Property Fund

This section demonstrates portfolio construction techniques using the Wisconsin Local Government Property Insurance Fund case. As discussed in Section 6.3.3, we will demonstrate the creation of optimal portfolios from three perspectives: that of a typical member, the fund itself, and a reinsurer to the fund. Even with the same data and risk models, different perspectives yield different objective functions, resulting in different risk retention policies. Regardless of which perspective the analyst focuses on, it is important to understand alternative viewpoints.

8.1.1 Property Fund Data and Risk Models

The fund data consists of losses from a collection of pool members, each of which is observed over time so that the data underpinning the risk modeling are longitudinal. Pool members differ by type (e.g., school, county, and other types of governmental units), size (measured by exposure variables), and other features (e.g., presence of sprinkler systems) so that known characteristics are critical to the empirical modeling strategy. Additionally, as described in Section 6.3.3, six risk types are of interest when establishing risk retention programs.

Calibrating a model to predict future loss distributions is a complex task, yet it is routinely performed by insurers; after all, their entire business model is predicated based on their ability to forecast losses. Fortunately, we can utilize the work documented in Frees, Lee, and Yang (2016) to predict future loss distributions that can be used to construct optimal risk retention programs. Compared to the other case study that will be analyzed in Section 8.2, the estimated Property Fund model is firmly grounded in empirical observations.

Specifically, the Frees, Lee, and Yang (2016) study used 2006-2010 data to estimate parameters from a claim generating model. Several covariates, including coverage, no claim credit, entity type, and deductibles, are available for each pool member (see their Table 8) meaning that regression-type models were employed at the parameter estimation stage. Although pool members were assumed independent of one another, the dependence among the six risk types was calibrated using a Gaussian copula. Following parameter estimation, covariates from a 2011 data sample were used to simulate a forecast loss distribution.

With the 2011 forecast distribution, we have available information from \(1,098\) pool members each of whom may have up to \(p=6\) risks. For notation, let \(X_{ij}\) represent the \(j=1, \ldots, p\) risk types for each of \(i=1, \ldots, n\) pool members. For each member and risk, a known exposure \(e_{ij}\) is available, with \(e_{ij}=0\) indicating that the \(i\)th pool member does not have a type \(j\) risk. Two approaches for estimation and forecasting are possible, both empirically calibrated in Frees, Lee, and Yang (2016). One is a frequency-severity approach, where the aggregate loss \(X_{ij}\) is considered the random sum of independent claims. The second involves a direct model of the distribution of \(X_{ij}\) using the Tweedie distribution (see Section 8.3.3). Here, we use the simpler Tweedie approach to demonstrate risk retention calculations. Tables A11 and 17 of Frees, Lee, and Yang (2016) provide parameter estimates of the Tweedie distribution and the copula, respectively. Implementation of the simulated forecast loss distribution is summarized in Appendix Section 8.3.4.

8.1.2 Risk Retention for a Specific Member

As a technical analyst, you may be employed to advise any of the 1,098 fund members. Or, you may be an advisor to the fund, and the fund aims to develop a process so that each pool member can devise its own risk retention program. To be concrete, in this example we will develop an optimal retention program for Member 2, Ashland County.

Coverage and Forecast Loss Distribution. To begin, let us examine the relative size of each of the six risk types. Table 8.1 displays Ashland County’s distribution of coverages, in millions of USD, for each of the six risks. Readers may refer to the descriptions of these coverages provided in Table 1.3. Table 8.1 shows that the building and contents (BC) type is by far the largest among the six risk types.

Table 8.1: Six Coverage Amounts for Member 2
BC IM CN CO PN PO
118.771 12.497 1.592 4.946 1.592 5.011
Note: Coverages are in millions of U.S. Dollars.

Next, let us describe the range of potential losses by examining the forecast distribution. To gain insight into this forecast distribution, Table 8.2 presents the aggregate losses in thousands of USD, summarized over 10,000 simulations. The sum of means over the six risks is \(119.06\) with BC representing nearly half of this sum.

Table 8.2: Forecast Loss Distribution for Member 2
BC IM CN CO PN PO
Minimum 0.00 0.00 0.00 0.00 0.00 0.00
Median 0.00 0.00 5.47 4.48 3.25 0.00
Mean 55.75 10.83 14.66 23.90 8.14 5.77
95th Percentile 298.26 64.63 57.09 102.96 30.99 31.00
99th Percentile 581.21 118.66 91.55 168.22 48.79 56.13
Mean Percent of Total 46.83 9.10 12.31 20.08 6.84 4.85
Note: Losses are in thousands of U.S. Dollars.

Multivariate Excess of Loss Risk Retention. To manage these risks, let us assume that Member 2 would like to enter into one or more contracts providing multivariate excess of loss protection. With this, the retained risk is \[ S_2(\mathbf{u}) = \sum_{j=1}^6 \min(X_{2j}, ~u_j ) . \] Our objective is to identify the best set of upper limit parameters \(u_j\), \(j=1, \ldots, p=6\) that minimizes the uncertainty of \(S_2(\mathbf{u})\) while adhering to a constraint on the risk transfer cost. Consistent with earlier work, we utilize expected shortfall to summarize the uncertainty of retained risks and a fair risk transfer cost to represent the cost of offloading risks in excess of the upper limits. Based on Table 8.2, a value of \(RTC_{max} =119.06\) indicates full transfer, resulting in all upper limits being zero. This provides an upper end for a range of maximal risk transfer costs, \(RTC_{max}\).

Constructing an Optimal Frontier. With this structure, the optimization problem is a special case of Display (7.4) that we have already learned how to solve. So, we can now proceed to interpretation of findings, beginning with Table 8.3 that summarizes the optimization results for each level of \(RTC_{max}\).

To interpret Table 8.3, let us first examine the building and contents (BC) risk type. When a high risk transfer cost is expended, say \(RTC_{max} =\) 113, the value of the upper limit is small, \(u_{BC} =\) 1.6, in thousands of USD. In contrast, when a low risk transfer cost is expended, \(RTC_{max} =\) 12, the value of the upper limit is high, \(u_{BC} =\) 245.8, in thousands of USD. To provide context, referring to Table 8.2, this is close to the 95th (298.26) percentile of the forecast distribution.

For comparison, we also can look to the collision old (CO) coverage. With a high \(RTC_{max} =\) 113, the value of the upper limit is a low \(u_{CO} =\) 2.3, in thousands of USD. With a low \(RTC_{max} =\) 12, the value of the upper limit is high, \(u_{CO} =\) 171.8, in thousands of USD. To interpret this, from Table 8.2, the 99th percentile of the simulated distribution is 168.22, in thousands of USD. Any upper limit that exceeds this value is effectively infinite, indicating that the Property Fund retains all of the risk.

Table 8.3: Fund Member 2 Excess of Loss Frontier
\(RTC_{max}\) \(RTC\) \(VaR\) \(ES\) Std Dev \(u_{BC}\) \(u_{IM}\) \(u_{CN}\) \(u_{CO}\) \(u_{PN}\) \(u_{PO}\)
113 113 9.6 10.8 3.7 1.6 0.5 4.1 2.3 2.6 0.2
107 107 19.6 22.4 7.7 4.1 1.8 7.2 5.7 4.8 0.7
95 95 40.0 47.6 16.4 12.3 5.3 12.7 12.7 8.7 2.8
83 83 60.8 75.3 26.3 23.2 12.1 18.5 19.1 12.0 6.4
71 71 82.7 105.3 37.3 37.1 20.7 26.3 26.3 15.5 9.7
60 60 104.4 137.8 49.6 54.2 33.9 35.6 34.9 18.5 14.3
48 48 127.7 173.3 63.5 76.5 51.2 44.9 46.6 23.2 20.6
36 36 150.4 213.1 79.4 105.7 68.0 60.7 67.2 31.7 28.2
24 24 175.7 258.1 98.3 151.7 112.3 80.9 97.0 48.1 45.4
12 12 193.3 313.7 121.6 245.8 174.8 152.0 171.8 82.3 95.9
6 6 193.3 343.4 136.4 361.7 193.8 167.5 197.8 90.5 105.6
R Code for Member 2 ES Optimization

To discern patterns across different levels of \(RTC_{max}\), Figure 8.1 illustrates the development of retained risk measures. As the budget increases and more is spent on risk transfer, the uncertainty of retained risks decreases for each risk measure. The curves connecting different \(RTC_{max}\) levels represent an efficient frontier.

Additionally, the figure includes two naive portfolios: one with an open blue plotting symbol indicating retention up to a limit of 100 for BC risk (\(u_{BC}=100\)) and full transfer for the other risks, and another with a solid green plotting symbol indicating full transfer for BC risk (\(u_{BC}=0\)) and a limit of 100 for other risks. Both naive portfolios lie above and to the right of the efficient frontier, indicating excessive uncertainty of retained risks for the given level of risk transfer costs.

Fund Member 2 Efficient Frontier. Plots of retained risk measures versus risk transfer costs. Also shown are two naive portfolios that do not lie on the efficient frontier.

Figure 8.1: Fund Member 2 Efficient Frontier. Plots of retained risk measures versus risk transfer costs. Also shown are two naive portfolios that do not lie on the efficient frontier.

Figure 8.2 provides an overview of the progression of optimal upper limits across different \(RTC_{max}\) levels. Similar to the risk measures, as more is spent on risk transfer, each optimal upper limit decreases.

Constructing Risk Portfolios Summary. This section has demonstrated a process that analysts can use in their own construction of optimal insurable risk portfolios.

  • Start by understanding the multivariate loss distribution, as in Tables 8.1 and 8.2 that summarize the coverage and forecast loss distributions.
  • With a contract structure identified, the risk owner’s retained loss variable can be determined.
  • This, a risk measure to summarize the uncertainty, and a principle to determine risk transfer costs, is sufficient for constructing an optimal frontier by solving the problem in Display (7.4).
  • Results over a frontier can be summarized as in Table 8.3, with visualization tools as in Figures 8.1 and 8.2.

Let us see how this process works in subsequent sections.

Fund Member 2 Optimal Upper Limits versus Risk Transfer Costs

Figure 8.2: Fund Member 2 Optimal Upper Limits versus Risk Transfer Costs

8.1.3 Fund Risk Retention

The prior section took the perspective of an individual fund member that sought to construct an optimal portfolio of risks with the aid of the resources of the general fund, in particular using data from other fund members to create forecasts of distributions.

In this section, the pool itself is viewed as the risk owner that seeks protection from the portfolio of potential losses. For simplicity, all losses are assumed to be the responsibility of the pool. It is straightforward to modify the analysis by assuming that the pool only takes a subset of losses, e.g., losses in excess of an agreed upon deductible from each pool member.

Coverage and Forecast Loss Distribution. As with the analysis for an individual pool member, we can get a sense of the size of the fund by examining coverage amounts and the distribution of forecast losses. To begin, Table 8.4 displays the distribution over members of coverages, in millions of USD, for each of the six risks. The table shows that the building and contents coverage (BC) is by far the largest risk type in terms of coverage.

Table 8.4: Distribution of Six Coverages
BC IM CN CO PN PO
Minimum 0.00 0.00 0.00 0.00 0.00 0.00
Median 12.77 0.19 0.00 0.00 0.00 0.00
Mean 42.35 0.97 0.09 0.38 0.17 0.69
95th Percentile 162.91 5.09 0.70 2.31 0.86 3.75
Maximum 2394.10 56.58 4.22 17.84 27.65 96.27
Number of Observations 1095 904 268 375 287 394
Note: Coverages are in millions of U.S. Dollars.

To get a sense of the distribution of forecast losses, the aggregate (sum over the pool) losses are presented in Table 8.5, in thousands of USD. This summarizes the distribution over 10,000 simulations of all pool 1,098 members. Building and contents represents about 80% of mean losses.

Table 8.5: Simulated Distribution of 2011 Aggregate Losses
BC IM CN CO PN PO
Minimum 12131.53 303.64 415.28 751.05 272.29 203.85
Median 18832.49 1046.98 861.66 1531.66 566.30 573.19
Mean 19024.33 1059.46 867.72 1545.60 569.61 581.78
95th Percentile 23371.96 1481.90 1108.67 2026.12 722.61 805.36
Maximum 30056.41 2154.13 1458.01 3023.36 954.07 1163.31
Mean Percent of Total 80.45 4.48 3.67 6.54 2.41 2.46
Note: Losses are in thousands of U.S. Dollars.

The sum of means over the six risks is 23,648.49.

Excess of Loss Proportional Limits Risk Retention. To manage these risks, we propose that the portfolio owner seeks multivariate excess of loss protection. If one thinks about all fund members pooling their risks and the fund seeking protection for this pool of risks, this set-up is similar to the program developed for Fund Member 2 in the prior section. Nonetheless, this is a potentially important application and so readers are asked to verify their understanding of this situation in Exercise 8.1.

To demonstrate the flexibility of the risk retention set-up, I propose a variation that is inspired by the recent risk-sharing rules of decentralized insurance described in Section 6.5.2. As before, the protection is parameterized by \(u_j\), \(j=1, \ldots, p\), that provides the upper limit amount but is now proportional to an exposure. Specifically, with this, the risk owner retains \(\min(X_{ij}, u_j e_{ij})\) and the excess is transferred to another party such as insurer(s), reinsurer(s), or other type, such as a pool. For retention parameters \(\mathbf{u} = (u_1, \ldots,u_p)\), the amount retained by the portfolio owner for the \(i\)th policyholder is \[ S_i(\mathbf{u}) = \sum_{j=1}^p \min(X_{ij}, ~u_j e_{ij}) . \] With this, the total risk retained is \(S(\mathbf{u})= \sum_{i=1}^n S_i(\mathbf{u})\) and the risk transferred is \(S(\infty, \ldots, \infty)- S(\mathbf{u})\). Note that the choice of \(u_j = \infty\) represents full risk retention (no insurance) and \(u_j = 0\) represents full transfer.

Constructing an Optimal Frontier. As in the prior Section 8.1.2, we now have defined a retained risk (as well as the risk measure and its risk transfer cost) so that constructing an optimal frontier can be viewed as a special case of Display (7.4). Because we have already learned how to solve this problem, we can proceed to interpretation of findings. The results are summarized in Table 8.6 and Figure 8.3, based on 10,000 simulations. For consistency, let us interpret these results using the same approach as in Table 8.3.

Starting with the building and contents (BC) coverage, we see that:

  • From Table 8.4, the median value of the BC coverage is 12.77 and the maximum value is 2,394.10, both in millions of USD.
  • From Table 8.6, when \(RTC_{max} =\) 22,466, the value of the upper limit is \(u_{BC} =\) 0.02. This corresponds to an upper limit of 307 at the median value of the BC coverage and to an upper limit of 57,458 at the maximum value of the BC coverage, both in thousands of USD.
  • In the same way, when \(RTC_{max} =\) 1,182, the value of the upper limit is \(u_{BC} =\) 11.692. This corresponds to an upper limit of 149,365 at the median value of the BC coverage.
  • Based on the information in Table 8.5, the maximum value of the simulated distribution turns out to be 30,056. Any upper limit that exceeds this value is effectively infinite, meaning that the Property Fund retains all of the risk.

For comparison, we also can look to the collision old (CO) coverage:

  • From Table 8.6, when \(RTC_{max} =\) 22,466, the value of the upper limit is \(u_{CO} =\) 1.00. This corresponds to an upper limit of 374 at the mean value of the CO coverage and to an upper limit of 17,787 at the maximum value of the CO coverage.
  • In the same way, when \(RTC_{max} =\) 1,182, the value of the upper limit is \(u_{CO} =\) 20.14. This corresponds to an upper limit of 7,558 at the mean value of the CO coverage.
  • From Table 8.5, the maximum value of the simulated distribution is 3,023. Any upper limit that exceeds this value is essentially infinity, meaning that the Property Fund retains all of the risk.
Table 8.6: Property Fund Excess of Loss Frontier
\(RTC_{max}\) \(RTC\) \(VaR\) \(ES\) Std Dev \(u_{BC}\) \(u_{IM}\) \(u_{CN}\) \(u_{CO}\) \(u_{PN}\) \(u_{PO}\)
22466 22466 1265 1323 99 0.02 0.97 1.00 1.00 1.00 0.98
20101 20101 3826 3993 321 0.17 0.54 1.13 1.14 1.07 0.72
17736 17736 6448 6783 614 0.34 0.20 1.31 1.42 1.20 0.57
15372 15372 9059 9602 921 0.56 0.13 1.60 1.99 1.42 0.70
13007 13007 11669 12419 1218 0.81 0.72 2.11 3.04 1.84 1.13
10642 10642 14276 15265 1527 1.15 1.37 2.62 3.99 2.29 1.49
8277 8277 16850 18098 1832 1.64 2.32 3.28 5.20 2.90 2.06
5912 5912 19470 20923 2143 2.59 2.64 3.64 5.80 3.24 2.32
3547 3547 22002 23601 2364 4.13 6.22 5.41 9.15 5.04 4.59
1182 1182 24534 26229 2547 11.69 14.72 13.77 20.14 12.32 10.06
R Code for Expected Shortfall Optimization
R Code for Section 8.1.3 ES Optimization
Property Fund Efficient Frontier. Plots of retained risk measures versus risk transfer costs.

Figure 8.3: Property Fund Efficient Frontier. Plots of retained risk measures versus risk transfer costs.

8.1.4 Reinsurer Risk Retention

We now adopt a third perspective, one where a reinsurer is the risk owner. Specifically, suppose that the pool and a reinsurer enter into a multivariate excess of loss contract parameterized by \(u_j\), \(j=1, \ldots, p\). As in the prior section, suppose that the pool is responsible for \[ S(\mathbf{u}) = \sum_{i=1}^{1098} \sum_{j=1}^p \min(X_{ij}, ~u_j e_{ij}) . \] Denoting total losses as \(S=S(\infty, \ldots, \infty)\), we have that the excess losses, \(S- S(\mathbf{u})\), is the responsibility of the reinsurer.

As the risk owner, the reinsurer seeks to minimize the uncertainty of its risks subject to earning an income from taking on the risk. With fair costs, the reinsurer will receive \[ RTC = \mathrm{E}[S- S(\mathbf{u})] \ge RTC_{min} , \] where \(RTC_{min}\) is the minimum amount that the reinsurer requires. Using notation similar to equation (7.4), the problem can be written as \[ \boxed{ \begin{array}{lc} {\small \text{minimize}_{z_0, \mathbf{u}}} & z_0 + \mathrm{E}_{Rk} [S-S(\mathbf{u})-z_0]_+ \\ {\small \text{subject to}} & RTC_R(\mathbf{u}) \ge RTC_{min} \\ & u_1 \ge 0, \ldots, u_p \ge 0 . \end{array} } \] Constructing an Optimal Frontier. This can be solved using the same set of tools as before. As in the prior section, the number of simulations is 10,000. The results are summarized in Table 8.7 and Figure 8.4. Note from Figure 8.4 the positive relationship between \(RTC\) and each of the retained risk measures. As the reinsurance takes on more risks, it receives more income through the risk transfer cost but also has greater uncertainty of retained risks.

From Table 8.7, we can also observe the optimal retention limits. Note that these limits differ from those in Table 8.6. This is not surprising; after all, in each case the objective function differs and so values of upper limits that minimize each problem will naturally differ.

Table 8.7: Property Fund Excess of Loss Frontier - Reinsurer Perspective
\(RTC_{min}\) \(RTC\) \(VaR\) \(ES\) Std Dev \(u_{BC}\) \(u_{IM}\) \(u_{CN}\) \(u_{CO}\) \(u_{PN}\) \(u_{PO}\)
22466 22466 26980 28333 2552 0.03 0.54 0.00 0.00 3.16 1.57
20101 20101 24354 25665 2404 0.19 0.79 0.00 0.00 0.00 0.42
17736 17736 21586 22892 2209 0.38 0.65 0.00 0.14 0.27 0.00
15372 15372 18834 20097 2010 0.56 2.79 0.03 0.07 0.01 0.97
13007 13007 15967 17081 1722 0.94 0.16 0.00 0.61 0.28 0.04
10642 10642 13074 13985 1419 1.43 0.21 0.00 0.00 0.08 0.14
8277 8277 10175 10807 1095 2.26 0.00 0.94 0.00 0.15 0.05
5912 5912 7226 7631 759 4.08 0.00 0.17 0.01 0.00 1.38
3547 3547 4375 4602 479 11.10 3.66 0.00 1.67 1.19 3.51
1182 1182 1488 1576 179 33.11 23.42 0.00 73.31 9.32 18.65
R Code for Section 8.1.4 ES Optimization
Reinsurer’s Efficient Frontier. Plots of retained risk measures versus risk transfer costs.

Figure 8.4: Reinsurer’s Efficient Frontier. Plots of retained risk measures versus risk transfer costs.

8.1.5 Designing Business Owners Policies

As described in Section 6.3.1, a business owners policy is a contract offered by a commercial insurer to small and moderate-sized businesses, covering a standard set of risks. Many such contracts offer a standard set of risk retention options for businesses to choose from. This section proposes a method to create a set of options that are desirable from an insurer’s viewpoint.

To this end, as in prior sections we consider \(p\) risks and, at a broad design stage, assume that each risk may be subject to a coinsurance \(c\) and an upper limit \(u\) as in equation (2.6). To enhance flexibility at the design stage, we allow these risk parameters to vary by risk and by the size of the customer firm. To account for firm size adjustment, we again consider an exposure variable \(e\) so that upper limits are proportional to the exposure.

With \(n\) potential customers, the insurer’s retained risk can be expressed as \[ S(\boldsymbol \theta) = \sum_{i=1}^n \sum_{j=1}^p \left\{X_{ij} - c_j [ X_{ij} \wedge u_j e_{ij} ] \right\}, \] where we recall the wedge operator \(\wedge\) for a minimum. This expression for retained risks bears similarity to a reinsurer’s risk retention problem discussed in Section 8.1.4 and could be optimized using similar methods.

Coinsurance parameters are linear and so are readily straightforward to account for in risk transfer costing and understanding the uncertainty of retained risks. That leaves us with upper limit parameters that were already accounted for in Section 8.1.4. Sometimes, the optimization process leads to very small upper limits which could be interpreted as a “deductible.” Deductibles are commonly used by insurers, not to minimize potential claims liabilities, but to mitigate small “nuisance” claims that can be administratively expensive relative to the size of the claim. Therefore, one may adjust the design to include small, yet still positive, limits even when the algorithm suggests values near zero.

Building upon this base model, several variations, such as offering combined limits for several risks, could also be included as noted in Section 7.5. Additionally, once an upper limit for each risk proportional to exposure is established, it is likely to be presented to potential client firms as levels varying by category of size (essentially categorizing the exposure variable). With different options that vary by a firm’s willingness to spend (\(RTC_{max}\)), our tools for creating optimal risk portfolios provide a rigorous approach for designing business owners policies.

Video: Section Summary

8.2 Stress Testing the ANU Risk Portfolio

In Section 7.4.1 we explored how to optimize ANU’s portfolio of risks. Although we learned how to solve the problem in Display (7.1), many of the assumptions underpinning this mathematical representation may not hold true. Managers often employ stress testing to examine how changes to underlying assumptions impact risk modeling results. One such assumption concerns the budget parameter \(RTC_{max}\), which dictates the amount to be spent on transferring risk. As we have already discussed, risk managers may be interested in understanding how allocations change with variations in \(RTC_{max}\).

There are other assumptions that may be of concern to risk managers. For instance:

  • Industry norms regarding the most appropriate confidence level \(\alpha\) for a risk retention policy have yet to be established. Thus, it is important to consider how the overall risk retention level and allocations change with variations in \(\alpha\).
  • In the same way, there is no consensus on the type of risk measure to use. Therefore, it is worth exploring how allocations differ between Value at Risk (\(VaR\)) and Expected Shortfall (\(ES\)) risk measures.

Subsections 8.2.2 and 8.2.3 delve into these issues, providing insights into these considerations. Following this, an alternative to the Tweedie model based on frequency and severity assumptions is presented. Specifically, this section concludes with a discussion on introducing event-level retention parameters based on the discourse in Section 7.5.3. As a baseline model from which these alternatives will be examined, Section 8.2.1 demonstrates how to incorporate property risk when constructing optimal insurable risk portfolios.

8.2.1 Including the Property Risk

This section begins by demonstrating how to incorporate property risk, a significant source of uncertainty in ANU’s portfolio. As mentioned in Section 7.4.1, the property risk dominates the portfolio of liability risks both in terms of premiums and uncertainty of outcomes. Although technically possible to include property risk in the portfolio alongside other risks, practical and numerical considerations suggest that it is more appropriate to treat this risk separately. Specifically, we assume that ANU has negotiated a separate property excess of loss policy.

For illustrative purposes, we assume that ANU transfers all property risks in excess of 5000, in thousands of AUD. Using notation, ANU’s portfolio of retained risks is represented as: \[ S_{Prop}(u_2, \ldots, u_{15}) = \min(X_1, 5000)+ \min(X_2, u_2) + \cdots + \min(X_{15}, u_{15}). \] The objective is to determine the optimal values of the upper limits \(\{u_2, \ldots, u_{15}\}\).

Table 8.8: ANU Excess of Loss \(ES\) Optimization Frontier, including the Property Risk
\(RTC_{max}\) \(RTC\) \(VaR\) \(ES\) Std Dev \(u_2\) \(u_3\) \(u_4\)
1371 1366 5071 5078 2031 1 0 0
1299 1294 5144 5151 2031 2 1 0
1155 1087 5330 5371 2038 9 9 1
1010 953 5391 5570 2071 42 40 30
866 865 5390 5765 2129 219 407 31
722 709 5401 6110 2251 504 600 333
577 565 5405 6434 2406 1106 959 827
433 411 5410 6786 2639 2528 1627 1635
289 185 5456 7600 3252 10499 3941 4111
144 144 5481 7473 3140 5254 5746 5798
72 72 5481 7834 3385 9246 6330 6393

Interpreting the results in Table 8.8 is similar to the discussion in Section 7.4.1. Note that the risk transfer costs do not include the cost of transferring the property risk so these values are comparable to those in Table 7.4. In contrast, the retained risk portion does include property risk, resulting in significantly larger summary measures (\(VaR\), \(ES\), and standard deviation).

R Code for Including the Property Risk

8.2.2 Varying the Level of Confidence

Specifying a quantile-based risk measure, such as a value at risk \(VaR\) or the expected shortfall \(ES\), may pose a challenge for a risk manager. If the risk owner is a firm, then firm attributes may play into the risk manager’s choice of the confidence level. For example, confidence levels may vary by whether the firm is public (for profit or non-profit) or private. In addition, when seeking to transfer costs, the risk owners may be concerned with the credit quality of the party taking on the risk. For example, counter-party risk of reinsurers is a major concern for insurers who seek to offload some of their risks. As mentioned previously, unlike solvency valuations, no industry norms have been established for either the choice of the measure or the associated confidence level.

For general commercial firms, the amount of retained risk summarized by a risk measure does not appear in financial statements. In contrast, the budget expenditure \(RTC\) represents the amount allocated for transferring risks, an expense, and expenses do appear in financial statements. Additionally, retention parameters are specified in risk transfer contracts. To summarize:

  • Budget expenditures and retention parameters are contractually documented and therefore likely to be scrutinized carefully.
  • Risk measures, which summarize the degree of uncertainty, receive less scrutiny and may vary substantially depending on opinions of different decision-makers involved in the risk management process.

Although determining a desirable amount of uncertainty of retained risks can be ambiguous, we know that it can be changed by varying the confidence level \(\alpha\). Therefore, it is of interest to examine how varying \(\alpha\) affects not only the overall uncertainty but also the retention parameters.

This is achieved by utilizing the optimization process outlined in Table 8.8 as a baseline while varying \(\alpha\). To keep the number of comparisons manageable, only results for \(RTC_{max} =\) 722 are reported, which corresponds to a typical budget constraint (actually, the middle value in Table 8.8).

Results are presented in Table 8.9. The first row corresponds to an optimization performed using \(\alpha = 0.50\). From this optimization, values of upper limits have been determined (e.g., \(u_2 =\) 274, \(u_3 =\) 266, and so on) and the value at risk is \(VaR =\) 744. Recall that the \(VaR\) is simply a quantile and so, with \(\alpha = 0.50\), this means that the median level of retained risk is 744 (thousands of AUD). The expected shortfall \(ES =\) 3,280 can be interpreted to be the expected amount of retained risks given that it exceeds the median.

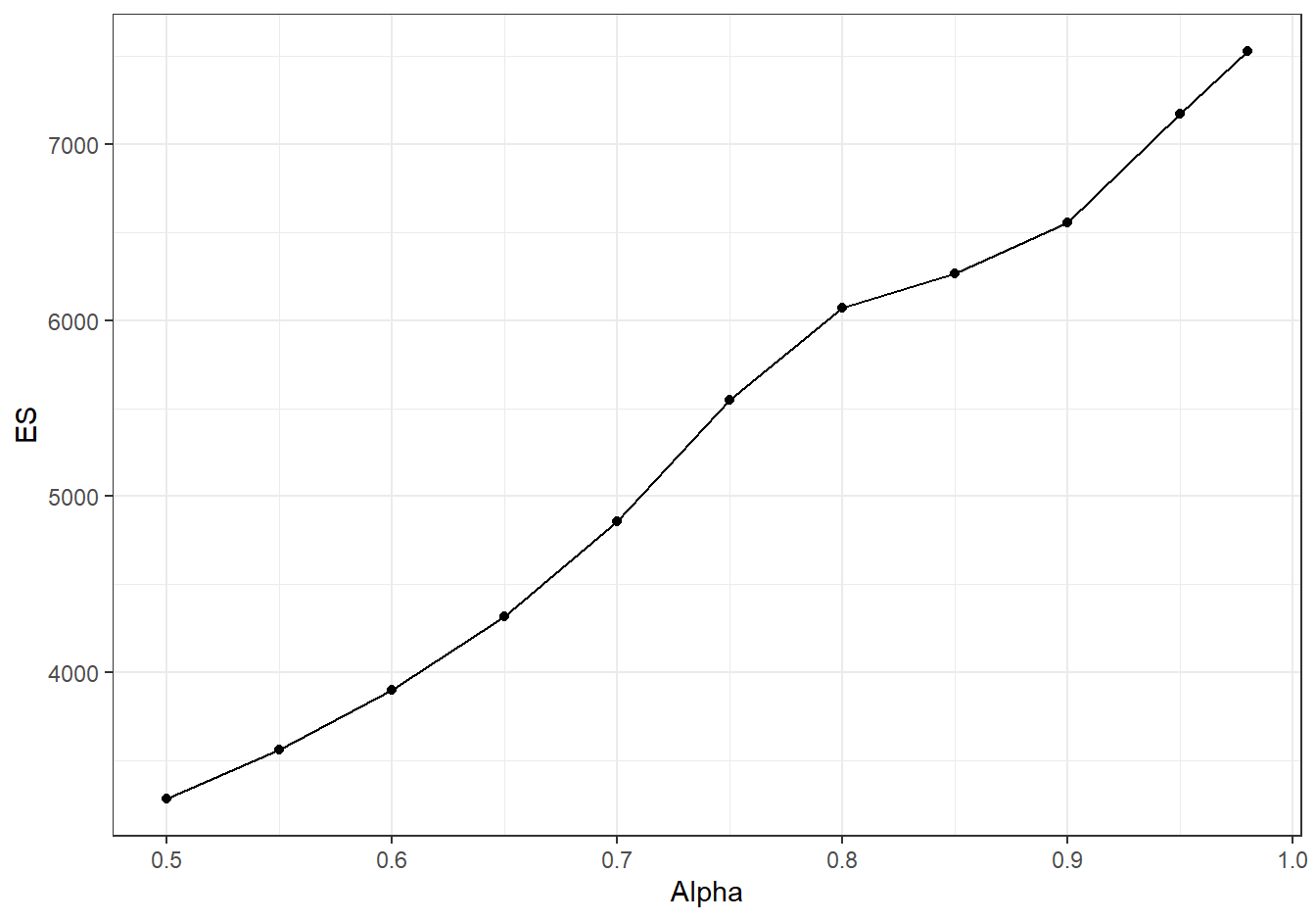
For many purposes, a confidence level \(\alpha = 0.50\) may be insufficient. Thus, Table 8.9 provides optimization results over a range of \(\alpha\) beginning at 0.50 up to 0.98. Thus, for example, with \(\alpha = 0.95\), we see that with a fund of 6,184 there is a 95% probability that this is sufficient to cover retained risks.

Figure 8.5 summarizes the relationship between the confidence level \(\alpha\) and the uncertainty of retained risks as summarized by the \(ES\) measure. Not surprisingly, as \(\alpha\) increases, so does \(ES\). Surprising however is the relatively constant level of the standard deviation. This suggests that using the standard deviation as an optimization criterion can produce very different results from the quantile-based risk measures used here.

Table 8.9: ANU Excess of Loss \(ES\) Optimization by Level of Confidence (\(\alpha\))
\(\alpha\) \(RTC\) \(VaR\) \(ES\) Std Dev \(u_2\) \(u_3\) \(u_4\)
0.50 722 744 3280 2225 274 266 270
0.55 722 804 3558 2225 278 268 268
0.60 722 897 3897 2225 294 268 274
0.65 722 997 4318 2225 281 277 258
0.70 722 1163 4860 2225 291 295 255
0.75 722 1993 5545 2228 200 475 181
0.80 722 5400 6070 2227 268 548 221
0.85 722 5584 6264 2227 209 506 215
0.90 722 5777 6554 2225 275 307 250
0.95 722 6184 7174 2226 208 352 214
0.98 722 7500 7529 2229 600 291 292
Retained Risk (measured by \(ES\)) versus Level of Confidence (measured by Alpha \(\alpha\)). Based on the ANU Excess of Loss Case Study where upper limits are determined by minimizing the \(ES\) criterion.

Figure 8.5: Retained Risk (measured by \(ES\)) versus Level of Confidence (measured by Alpha \(\alpha\)). Based on the ANU Excess of Loss Case Study where upper limits are determined by minimizing the \(ES\) criterion.

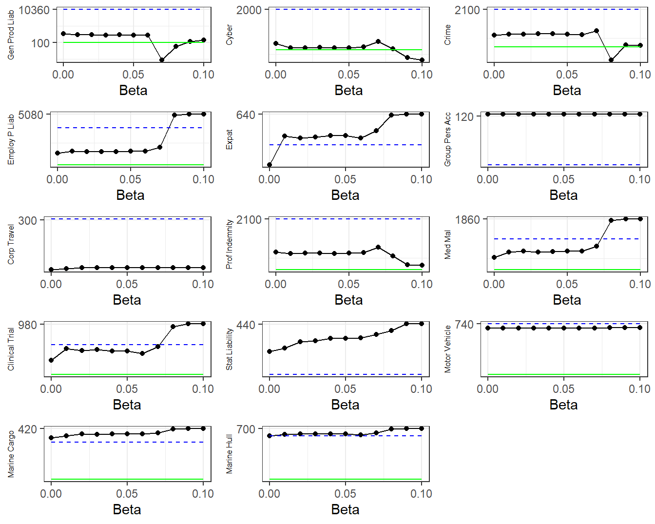
Table 8.9 also shows the progression of the first three upper limits \(u_2, u_3, u_4\) as \(\alpha\) increases. This is supplemented by Figure 8.6 which depicts the progressions of all upper limits. As previously noted, the optimal retention policy adjusts the mixture of risks as \(\alpha\) changes; the optimal values of the upper limits seem to be relatively stable as \(\alpha\) changes. Only when \(\alpha\) is very large, say at 0.98, do we see big changes. This is encouraging news for risk managers - the choice of the confidence level does not materially affect optimal risk retention results.

Upper Limits versus Alpha \(\alpha\). Based on the ANU Excess of Loss Case Study where upper limits are determined by minimizing the \(ES\) criterion.

Figure 8.6: Upper Limits versus Alpha \(\alpha\). Based on the ANU Excess of Loss Case Study where upper limits are determined by minimizing the \(ES\) criterion.

R Code for Varying Alpha

8.2.3 Varying the Measure of Retained Risk

Some risk managers may be confident in selecting a confidence level \(\alpha\) such as \(\alpha = 0.95\) or \(0.98\), which are commonly used in certain fields. However, even with a fixed confidence level, there can be substantial variation in measures of uncertainty within the set of quantile-based risk measures. In particular, we focus on the two most well-known choices: the value at risk \(VaR\) and the expected shortfall \(ES\). To explore trade-offs between these two measures, this subsection investigates another tool for balancing risk measures, the range value at risk \(RVaR\). Using equation (2.4), we can express this measure as \[ \begin{array}{ll} RVaR_{(\alpha,\beta)}[X] \\ \ \ \ = F^{-1}_{\alpha+\beta} + \frac{1}{\beta} \left\{ (1-\alpha)(F^{-1}_{\alpha} -F^{-1}_{\alpha+\beta}) + [\mathrm{E} (X \wedge F^{-1}_{\alpha+\beta})- \mathrm{E} (X \wedge F^{-1}_{\alpha})] \right\} . \\ \end{array} \] To clarify, this measure provides an intermediate alternative between \(VaR\) and \(ES\). Specifically, with \(\beta = 0\), we have \(RVaR = VaR\) and with \(\beta = 1-\alpha\), we have \(RVaR = ES\). Thus, \(\beta\) is the parameter that adjusts the \(RVaR\) between \(VaR\) and \(ES\).

Table 8.10 summarizes the optimization results for several different choices of \(\beta\). Unlike other portions of this book, in this analysis we minimized the \(RVaR\) criterion, not the \(ES\). To facilitate comparisons, optimization results are presented in the same manner as before. Therefore, the row with \(\beta = 0\) corresponds to \(VaR_{0.90}\) minimization and the row with \(\beta = 1- 0.90 = 0.10\) corresponds to \(ES_{0.90}\) minimization. Figure 8.7 illustrates that although the optimal value of \(RVaR\) changes substantially with different choices of \(\beta\), the corresponding values of \(StdDev\) (standard deviation), \(VaR\), and \(ES\) are remarkably stable.

Similarly, Figure 8.8 depicts the progression of optimal upper limits. Some of these values do change with a change in \(\beta\) such as those for medical malpractice and clinical trials. Nonetheless, overall there is relatively little change in the limits. This supports the intuition that the risk retention problem is relatively robust to the choice between the \(VaR\) and \(ES\) risk measures.

Table 8.10: ANU Excess of Loss Optimization - RVaR Criterion - by Levels of Beta
\(\beta\) \(RTC\) \(VaR\) \(ES\) Std Dev \(RVaR\) \(u_2\) \(u_3\) \(u_4\)
0.00 722 5788 6571 2234 5788 338 349 264
0.01 722 5781 6569 2235 5800 293 273 287
0.02 722 5781 6569 2235 5824 288 273 288
0.03 722 5781 6569 2235 5855 285 279 289
0.04 722 5781 6569 2235 5891 293 274 290
0.05 722 5781 6569 2235 5932 283 279 279
0.06 722 5782 6569 2235 5992 285 288 275
0.07 722 5805 6597 2242 6079 8 385 380
0.08 722 5723 6623 2267 6159 56 265 35
0.09 722 5708 6615 2266 6312 116 166 118
0.10 722 5708 6615 2266 6615 140 146 116
Retained Risk Measures versus Beta \(\beta\). Based on minimizing the \(RVaR\) criterion. Here, \(\beta=0\) corresponds to \(VaR\) and \(\beta=1-\alpha\) corresponds to \(ES\).

Figure 8.7: Retained Risk Measures versus Beta \(\beta\). Based on minimizing the \(RVaR\) criterion. Here, \(\beta=0\) corresponds to \(VaR\) and \(\beta=1-\alpha\) corresponds to \(ES\).

Upper Limits versus Beta. Based on minimizing the \(RVaR\) criterion. Here, \(\beta=0\) corresponds to \(VaR\) and \(\beta=1-\alpha\) corresponds to \(ES\).

Figure 8.8: Upper Limits versus Beta. Based on minimizing the \(RVaR\) criterion. Here, \(\beta=0\) corresponds to \(VaR\) and \(\beta=1-\alpha\) corresponds to \(ES\).

R Code for Range Value at Risk

Minimization of the \(RVaR\) criterion is a bit more complex than the \(ES\) minimization. Readers who examine the code will observe several differences that made the calculations feasible. First, the code minimizes the risk measure directly, not the auxiliary function introduced in the \(ES\) calculation. Second, no implementation of kernel smoothing was attempted. Third (as a consequence of the second), gradient functions were not utilized in the optimization. Happily, despite all of these simplifications, reasonable results could be achieved as reported in this section.

8.2.4 Claim Level Retention

As demonstrated in Appendix Section 8.3.5, the three-parameter Tweedie distribution is flexible and can be used to represent a wide variety of aggregate losses. Moreover, when information about individual claims is available, an even more flexible model can be used to model the number, or frequency, of claims and, for each claim, the severity, or amount, of a claim. As described in Section 7.5.3, by modeling claims at this more granular level we are able to introduce risk retention parameters at the claim level instead of the aggregate level.

For the ANU data, let us now consider an upper limit for each occurrence of a claim for three risks: group personal accident, corporate travel, and motor vehicle. Other upper limits remain at the aggregate level. The number of retention parameters stays the same but now risk retention is operating at a more granular level, at the occurrence of a claim, as opposed to the overall aggregate. This mirrors the way actual contracts are written for ANU and is common for coverages that have relatively high frequency.

Table 8.11 shows the results from this optimization, again varying different levels of \(RTC_{max}\). As before, note that the upper limit parameters increase as \(RTC_{max}\) decreases and the risk owner takes on more risk but pays less in transfer costs. Figure 8.9 depicts how the summary measures of retained risk uncertainty decrease as risk transfer costs increase.

Figure 8.10 illustrates optimal upper limits as risk transfer costs vary. The progression of the optimal upper limits for the three claim-level risks, group personal accident, corporate travel, and motor vehicle, appears less volatile than when at the aggregate level as shown in Figure 7.1.

Table 8.11: ANU Excess of Loss Optimization - Includes Claim Level Upper Limits
\(RTC_{max}\) \(RTC\) \(VaR\) \(ES\) Std Dev \(u_{GPA}\) \(u_{Trav}\) \(u_{MV}\)
1374 1374 5056 5150 2039 0 0 0
1302 1302 5135 5205 2036 0 0 0
1157 1157 5295 5327 2032 1 0 3
1013 1013 5445 5482 2034 8 5 8
868 868 5615 5976 2115 16 22 62
723 723 5776 6547 2224 12 34 65
579 579 5985 7156 2362 21 14 70
434 434 6016 7783 2563 26 44 146
289 289 6085 8439 2775 37 89 232
145 145 6166 9159 3086 630 490 917
72 72 6353 9801 3312 1210 903 1629
Retained Risk Measures - Includes Claim Level Upper Limits

Figure 8.9: Retained Risk Measures - Includes Claim Level Upper Limits

Upper Limits - Claim Level Upper Limits

Figure 8.10: Upper Limits - Claim Level Upper Limits

R Code for Event Level Limits

Video: Section Summary

8.3 Supplemental Materials

8.3.1 Further Resources and Reading

As seen in Section 4.1, reinsurance provides a natural setting for introducing multivariate risk retention. Although the methods introduced in this book provide a foundation for interpreting the best choices of risk retention, practical reinsurance applications require additional care. For example, the models presented here do not handle considerations over time and so can be thought of as “one-period” models. To illustrate, it is common practice for reinsurers to raise premiums after claim occurrence in order to adjust (or “reinstate”) retention limits to their original levels, e.g. Albrecher, Beirlant, and Teugels (2017), Section 2.3.2. This variation is not addressed directly in the basic one-period model presented here because it does not account for realized claims.

As another example, in reinsurance, there may be an interplay between the price of risk transfer cost and a risk owner’s level of confidence. That is, prices of reinsurers are affected by the amount of capital that they have which in turn affects their ability to pay (large) claims. This potential credit risk can complicate matters, particularly when there are many reinsurers involved in taking responsibility for different layers of coverage, as introduced in Section 4.1.3.

In addition to the stress testing topics introduced in Section 8.2, risk managers are also likely to be concerned with the effects of dependence on risk retention parameters. That is, risk managers have a sense that risks are positively dependent but often are not able to quantify the extent of this dependence. How do the optimal retention limits vary with different levels of dependence? Chapter 12 will take up this question.

Section 8.1 explored optimization challenges from three distinct perspectives: that of an individual fund member, the fund itself, and a reinsurer. As a consultant, you may find yourself advising any of these entities. Since each perspective naturally leads to different objective functions, it is expected that the perspective significantly influences the construction of an optimal portfolio. Indeed, there is a robust academic discourse dedicated to reconciling these varied viewpoints. For further insights into harmonizing these different perspectives, you may refer to works such as Boonen and Ghossoub (2023), Cai, Liu, and Wang (2017), Bernard, Liu, and Vanduffel (2020), W. Jiang, Hong, and Ren (2021), and Assa (2015).

8.3.2 Exercises

For these exercises, you will need to generate simulated data using resources found in:

  • Appendix Section 8.3.4 shows how one obtains estimated risk model parameters and provides code to simulate the Wisconsin property fund data.
  • Appendix Section 8.3.5 describes development of the parameters for the ANU risk distributions.
  • Appendix Section 8.3.6 provides code to simulate the ANU data.

Section 8.1 Exercises

Exercise 8.1. Wisconsin Property Fund Seeks Reinsurance Protection. In this exercise, the Wisconsin Property Fund is the risk owner and seeks excess of loss protection. In contrast to the work in Section 8.1.3, the total risk retained is \(S({\bf u})=\sum_{j=1}^6 \{S_j \wedge u_j \}\) where \(S_j\) is the sum of claims from the \(j\)th risk. Provide a frontier of optimal retention limits using expected shortfall and \(\alpha = 0.80\), comparable to Table 8.12. (Hint: Use the illustrative code from Example 7.6.)

R Code for Exercise 8.1
Table 8.12: Exercise 8.1. Fund Excess of Loss Optimization
\(RTC_{max}\) \(RTC\) \(VaR\) \(ES\) Std Dev \(u_{BC}\) \(u_{IM}\) \(u_{CN}\) \(u_{CO}\) \(u_{PN}\) \(u_{PO}\)
22466 22466 1182 1182 0 197 197 197 197 197 197
20101 20101 3547 3547 0 2268 245 220 527 164 124
17736 17736 5912 5912 1 4205 0 447 772 292 197
15372 15212 8441 8441 21 6884 31 17 1074 435 0
13007 13007 10642 10642 1 8942 446 265 580 204 204
10642 10642 13007 13007 0 11527 304 416 556 0 205
8277 8277 15372 15372 22 13302 471 480 862 0 257
5912 5912 17758 17758 127 14697 637 613 1049 406 356
3547 3547 20319 20319 514 16586 814 722 1264 479 454
1182 1182 23591 23798 1386 18936 1208 978 1637 629 657

Exercise 8.2. Excess of Loss Frontier Interpretation. One can explain the pattern of the excess of loss frontier that appears in Table 8.12 with a simple example. To motivate this exercise, note from Table 8.5 that the minimum of each risk distribution of each risk is positive.

For simplicity, use the expected shortfall objective function that appears in Display (7.4) that omits kernel smoothing. In addition, with fair costing of risk transfer, suppose that the difference between full insurance and the maximal risk transfer cost is \(DELTA_{RTC} = \sum_{j=1}^p \mathrm{E}(X_j) - RTC_{max} >0\).

Motivated by Table 8.5, let us suppose that each random variable can be expressed as \(X_j = a_j + \tilde{X}_j\), where \(\tilde{X}_j\) is a nonnegative random variable and \(a_j\) is a positive constant, for \(j=1, \ldots, p\).

a. Consider upper limits \(u_j\) such that \(0 \le u_j \le a_j\). Show that any set of limits subject to these bounds and that sum to \(\sum_{j=1}^p u_j = DELTA_{RTC}\) minimizes expected shortfall and that this minimal value is \(DELTA_{RTC}\).
b. Use the results from part (a) to interpret the patterns in optimal upper limits in Table 8.12 as \(RTC_{max}\) varies.

Solution for Exercise 8.2

Exercise 8.3. An Attractive Naive Portfolio. Consider the risk retention problem faced by Ashland County in Section 8.1.2. To diversify the portfolio, one solution is to set the upper limit for each risk at the quantile for that risk. In this way, each risk is well represented in the portfolio.

Determine an \(\alpha\) quantile for each risk and use this to set the level of that upper limit. This set of upper limits can be used to form a portfolio. Determine the \(RTC\) and the \(ES\) (with a 95% level of confidence) for this portfolio. Determine ten such portfolios by varying \(\alpha\) starting at 0.5, 0.55, …, 0.95, 0.98. Superimpose the resulting set of portfolios on the efficient frontier from the middle panel of Figure 8.1. Your work should result in something comparable to Figure 8.11.

You will learn that this set of portfolios is quite competitive with the efficient frontier set. This new set of portfolios is “naive” in the sense that it does not require the dependencies nor the use of constrained optimization for its calculations. For theory underpinning this result, see Example 11.3.

Solution - Results and Code for Exercise 8.3
Exercise 8.3. Efficient Frontier of Retained Risk Measures versus Risk Transfer Costs, with Attractive Naive Portfolios Superimposed. The numbers on the graph provide the fractions used to create the quantiles of each risk in the portfolio.

Figure 8.11: Exercise 8.3. Efficient Frontier of Retained Risk Measures versus Risk Transfer Costs, with Attractive Naive Portfolios Superimposed. The numbers on the graph provide the fractions used to create the quantiles of each risk in the portfolio.


Exercise 8.4. Fund Member 2 Optimal Portfolio with a Deductible. Modify the analysis in Table 8.3 by assuming that pool member 2 cedes property losses in excess of 1,000.


Exercise 8.5. Fund Risk Retention with Member Deductibles. Modify the analysis in Table 8.6 by assuming each pool member cedes only losses in excess of 20,000 to the pool.

Section 8.2 Exercises

Exercise 8.6. \(GlueVaR\) and the ANU Case. Instead of expected shortfall, think about how you might modify the ANU analysis in minimize the \(GlueVaR\) criterion. (Exercise 9.9 will provide additional guidance.)


Exercise 8.7. Varying the Cyber Risk Premium. For the cyber risk, the third in our notation, we now use risk transfer cost \[ RTC_{Cyber}(u) = Cyber Load \times \mathrm{E}[X_3 - \min(X_3,u)]. \] Here, we introduce a \(CyberLoad\) coefficient that can be used to account for administrative loadings or market availability factors. Table 8.13 shows results from the excess of loss optimization over several choices of the loading factor. Provide code to replicate this table and interpret the results.

Table 8.13: ANU Excess of Loss Optimization by Level of Cyber Load
Cyber Load \(RTC\) \(VaR\) \(ES\) Std Dev \(u_2\) \(u_{3:Cyber}\) \(u_4\)
0.5 723 6093 6859 2205 175 0 288
1.0 723 6226 7205 2248 186 432 252
1.5 723 6357 7322 2264 198 1506 144
2.0 723 6361 7314 2271 204 5633 145
2.5 723 6364 7315 2272 204 5848 147
3.0 723 6364 7315 2272 204 5848 147
Solution - Interpretation and Code for Exercise 8.7

8.3.3 Appendix. Tweedie Distribution

The Tweedie distribution is defined as a Poisson sum of gamma random variables. Specifically, suppose that \(N\) has a Poisson distribution with mean \(\lambda\), representing the number of claims. Let {\(X_j\)} be an i.i.d. sequence, independent of \(N\), with each \(X_j\) having a gamma distribution with parameters \(\alpha\) and \(\gamma\), representing the amount of an individual claim. Then, \(S_N = X_1 + \cdots + X_N\) is a Poisson sum of gammas.

To understand the mixture aspect of the Tweedie distribution, first note that it is straightforward to compute the probability of zero claims as \(\Pr ( S_N=0) = \Pr (N=0) = e^{-\lambda}\). The distribution function can be computed using conditional expectations, \[ \Pr ( S_N \leq y) = e^{-\lambda}+\sum_{n=1}^{\infty} \Pr(N=n) \Pr(S_n \leq y), ~~~~~y \geq 0. \] We calculate the moments using iterated expectations as \(\mathrm{E}(S_N) = \lambda \frac{\alpha}{\gamma}\) and \(\mathrm{Var}(S_N) = \frac{\lambda \alpha}{\gamma^2} (1+\alpha)\). Now, define three parameters \(\mu, ~\phi, ~p\) through the relations \[ \lambda = \frac{\mu^{2-p}}{\phi (2-p)},~~~~~~\alpha = \frac{2-p}{p-1}~~~~~~\mathrm{and}~~~~~ \frac{1}{\gamma} = \phi(p-1)\mu^{p-1}. \] The Tweedie distribution is a member of the linear exponential family; thus, it can readily be used in regression type applications and so has found favor in the insurance industry, cf. Frees (2009). Further, easy calculations show that \(\mathrm{E}(S_N) = \mu\) and \(\mathrm{Var}(S_N) = \phi \mu^p\), where \(1<p<2.\)

8.3.4 Appendix. Generate Property Fund Data

As described in Section 8.1.1, the theory underpinning the risk modeling of the Wisconsin Property Fund is in Frees, Lee, and Yang (2016). The corresponding code and data to support development of the modeling are available from Frees, Lee, and Yang (2024). The associated code implements this development.

R Code for Data Generation

8.3.5 Appendix. ANU Risk Distribution

As described in Section 6.3.2, the set of insurable risks faced by ANU is complex. An earlier study, Frees and Butt (2022), documented the experience available that can be used to capture the distributions of each risk. Specifically, there was ample recent experience to fit frequency and severity distributions for three risks: Group Personal Accident, Corporate Travel, and Motor Vehicle. For each risk, a Poisson distribution was used for the number of annual losses and a lognormal distribution was used for the loss severity. The summary statistics for these distributions appear in Table 8.14.

Not surprisingly, the prior study indicated that the experience for the other 12 risks was sparse. Rather than split losses into frequency and severity components, we used a single aggregate distribution, the Tweedie, that is used extensively in many studies of insurance losses, see, for example, Frees (2014). The prior Appendix Section 8.3.3 describes this distribution.

To determine parameters of these 12 marginal distributions, market information through the premiums and deductibles was utilized. The first three columns of Table 8.14 provide the deductible, premium, and expected number, that are based on ANU contracts and data (see also Table 6.1 for the deductible and premium). For each risk, we used these inputs to match the parameters of a Tweedie distribution. That is, we used the expression \[ premium = \mathrm{E}[(X - deductible)_+], \] where “\(~_+\)” denotes the positive part and \(X\) is a random variable with a Tweedie distribution. For most of the risks, we used a power parameter equal to 1.67 as is common in many actuarial studies. However, for both the Property and the General and Products Liability lines, we used a 1.9 power parameter to account for their longer tails.

To summarize each of the marginal risk distributions, we generated several summary measures including the mean, standard deviation, as well as the 95th and 99th percentiles. These appear in Table 8.14.

R Code for ANU Risk Summary Statistics
Table 8.14: ANU Risk Summary Statistics
Deductible Premium Expected Number Mean Standard Dev 95th Percentile 99th Percentile
Property 5000 23565 0.67 24753 95631 147455 481482
General and Products Liability 100 448 0.50 467 2090 2585 10354
Cyber 250 76 0.25 112 389 748 1992
Crime 100 100 0.25 117 408 785 2090
Employment Practices Liability 100 84 0.25 101 351 675 1799
Expatriate 0 12 0.25 12 41 78 208
Group Personal Accident 0 105 20.00 23 7 35 40
Corporate Travel 0 75 220.00 140 70 255 303
Professional Indemnity 100 100 0.25 117 408 785 2090
Medical Malpractice 100 20 0.25 33 116 223 594
Clinical Trial 100 10 0.25 21 75 143 382
Statutory Liability 0 8 0.25 8 29 56 149
Motor Vehicle 1 85 80.00 276 198 601 736
Marine Cargo 5 6 0.25 7 24 47 125
Marine Hull 0 12 0.25 12 40 78 207

8.3.6 Appendix. Generate ANU Simulated Distributions

In this stage, we use the marginal risk parameters from the prior section to generate multivariate claims. The copula is specified as a mixture between independence and a so-called comonotonic copula that will be described in Section 9.1. With a copula, we can randomly generate (dependent) uniform numbers, the marginal risk parameters, and quantile functions from the appropriate distributions to generate dependent claims. See the general description in the first two steps of the Section 7.1 strategy and the appended code for more details.

R Code for ANU Simulated Distributions