Using the SEM Builder - Elementary

Doug Hemken

October 2015

Stata Corp. has a YouTube video that introduces the SEM Builder. The use of the Builder itself begins around 2:30.

Using the SEM Builder

Stata has a graphical user interface for specifying and estimating structural equation models, call the "Builder". From the menus, click on Statistics -> SEM -> Model building and estimation.

SEM menu

SEM menu

Using the SEM model objects on the left, build a model. For example, click on the rectangular box near the top of the object list, then click once on the blank model canvas in two separate places, in order to include two observed variables in your model. Next, click on the rightward-pointing arrow, the path object, and click once on each observed variable box to connect them. Finally, click on the selection icon at the top of the model object list and click on one of the observed variable boxes. In the bar above the model canvas you can fill in the variable name. Do this for the other observed variable as well. The set up should look like this:

SEM model

SEM model

Now you can click on the Estimate button in the top toolbar (the Execute icon). The sem command for your model runs in the main Stata workspace, and some of the parameter estimates are displayed on the Builder model.

SEM estimates

SEM estimates

Builder models and sem commands

Notice that running models from the Builder generates Stata sem commands which you can save in a *.do file, and also produces all the same output that using the command does, which you can save in a *.log file.

There is no way to go in the other direction, however. That is, there is no way to have an sem command automatically produce a Builder diagram.

Saving Models and Diagrams

You can save your model specification and estimates in their graphical for as a Stata stem file. This allows you to reopen your model and do further work with it in a later Stata session.

You can also save your model diagram in whatever state it is in (pre- or post-estimation).

Saved diagram

Saved diagram

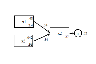
Multiple Regression

Moving on t0 the elementary multiple regression model:

Multiple regression

Multiple regression

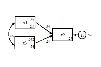
Note the same assumption we saw before, namely that exogenous variables are correlated, even though this is not shown in the diagram. Also notice that the background specification is verbose with respect to paths: the Builder produces code that specifies each path separately, sem (x1 -> x2, ) (x3 -> x2, ) rather than the more compact sem (x1 x3 -> x2, ) we typed by hand. This may or may not be an advantage when you are trying to troubleshoot models later - either specification with fine with Stata, they mean the same thing.

Adding a covariance to our diagram is equivalent to adding a cov option to our sem command.

Explicit covariance

Explicit covariance

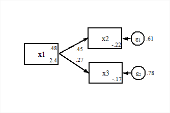
Multiple Outcomes

(This is equivalent to two separate regressions. In particular, there is no equality constraint on the error terms.)

Multiple response

Multiple response

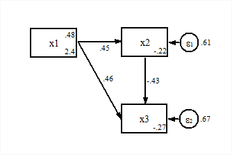
Indirect Effects

Direct and indirect

Direct and indirect